I'm a Physicist with a strong background in computational modeling, theoretical chemistry, and statistical analysis. I earned my Ph.D. in Physics from the University of Campinas (UNICAMP), Brazil (2017–2021), where I investigated the structure, dynamics, and thermodynamics of ice and supercooled water. Prior to that, I completed my M.S. in Physics at UNICAMP (2015–2017), focusing on the mechanical properties and rheology of ice grain boundaries.
I began my academic journey at the Federal Fluminense University (UFF), Brazil, where I obtained my B.S. in Physics (2010–2015). During my undergraduate years, I conducted electronic structure calculations of semiconductor alloys, developing expertise in quantum chemistry and materials science. I've also participated in a visiting research program at the University of Manitoba, Canada (2014), conducting experiments on the spin Seebeck effect in magnetic materials.
Currently, I'm a Postdoctoral Researcher at the University of Utah, where I investigate the thermodynamics, kinetics, and molecular mechanisms of ice formation and water’s phase behavior. My work contributes to advancements in atmospheric science, cryopreservation, and materials science. I've contributed to high-impact publications in journals such as Proceedings of the National Academy of Sciences, Journal of the American Chemical Society, The Journal of Physical Chemistry, and Atmospheric Chemistry and Physics.
⭐ I'm happy to be featured in a University of Utah article on the Center for High Performance Computing, alongside fellow Molinero Group postdocs! (April 2025)
⭐ Our research on Medium-Density Amorphous Ice was recently highlighted by the University of Utah! (February 2025)
⭐ Our work on bacterial ice nucleation has been featured in a press release by the MPI for Polymer Research! (October 2024)
⭐ Featured in a Department of Chemistry interview highlighting my postdoctoral research in the Molinero Group. (April 2024)
🏆 Honored to receive the IBP2022 Biointerphases Presentation Award! (September 2022)
de Almeida Ribeiro, I.; Qiu, Y.; Gadea, E. D.; Metya, A. & Molinero, V.
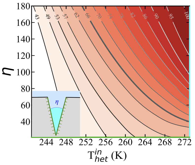
Immersion Freezing at Topographic Active Sites: Dual-Barrier Prediction of Ice Nucleation Temperatures.
Journal of the American Chemical Society, 148 (3), 3291-3304 (2026).
Kumar, R.; de Almeida Ribeiro, I.; Dhabal, D. & Molinero, V.
Rethinking the Evidence for a Liquid–Liquid Transition in Water: What Decompression Experiments Reveal.
Journal of Chemical Physics, 164 (2): 024506, (2026).
Eufemio, R.; Royas, M.; Shaw, K.; de Almeida Ribeiro, I.; Guo, H.-B.; Renzer, G.; Belay, K.; Liu, H.; Suseendran, P.; Wang, X.; Fröhlich-Nowoisky, J.; Pöschl, U.; Bonn, M.; Berry, R.; Molinero, V.; Vinatzer, B.; & Meister, K.
A New Class of Fungal Ice-Nucleating Proteins with Bacterial Ancestry.
ChemRxiv (2025).
de Almeida Ribeiro, I.; Dhabal, D.; Kumar, R.; Banik, S.; Sankaranarayanan, S. & Molinero, V.
Medium-Density Amorphous Ice Unveils Shear Rate as a New Dimension in Water’s Phase Diagram.
Proceedings of the National Academy of Sciences, 121 (48), e2414444121 (2024).
Renzer, G.; de Almeida Ribeiro, I.; Guo, H. B.; Fröhlich-Nowoisky, J.; Berry, R.; Bonn, M.; Molinero, V., & Meister, K.
Hierarchical Assembly and Environmental Enhancement of Bacterial Ice Nucleators.
Proceedings of the National Academy of Sciences, 121.43, e2409283121, (2024).
Addula, R.K.R.; de Almeida Ribeiro, I.; Molinero, V. & Peters, B.
Modeling homogeneous ice nucleation from drop-freezing experiments: impact of droplet volume dispersion and cooling rates.
Atmospheric Chemistry and Physics, 24, 10833-10848 (2024).
Schwidetzky, R.; de Almeida Ribeiro, I.; Bothen, N.; Backes, A.; DeVries, A.L.; Bonn, M.; Frohlich-Nowoisky, J.; Molinero, V. & Meister, K.
Functional aggregation of cell-free proteins enables fungal ice nucleation.
Proceedings of the National Academy of Sciences, 120(46), e2303243120, (2023).
Eufemio, R. J.; de Almeida Ribeiro, I.; Molinero, V.; Bonn, M.; Sformo, T. L.; Laursen, G. A.; Frohlich-Nowoisky, J. & Meister, K.
Lichen species across Alaska produce highly active and stable ice nucleators.
Biogeosciences Discussions, 1-18, (2023).
de Almeida Ribeiro, I.; Meister, K. & Molinero, V.
HUB: A method to model and extract the distribution of ice nucleation temperatures from drop-freezing experiments.
Atmospheric Chemistry and Physics, 23, 5623-5639, (2023).
de Almeida Ribeiro, I.; de Koning, M. & Molinero, V.
Is It Possible to Follow the Structural Evolution of Water in “No-Man’s Land” Using a Pulsed-Heating Procedure?
The Journal of Physical Chemistry Letters, 1085-1089, (2022).
Gallo, P.; Bachler, J.; Bove, L. E.; Bohmer, R.; Camisasca, G.; Coronas, L. E.; Corti, H. R.; de Almeida Ribeiro, I.; de Koning, M.; Franzese, G.; Fuentes-Landete, V.; Gainaru, C.; Loerting, T.; de Oca, J. M. M.; Poole, P. H.; Rovere, M.; Sciortino, F.; Tonauer, C. M. & Appignanesi, G. A.
Advances in the study of supercooled water.
European Physical Journal E, 44 (11), 143, (2021). (Invited review)
de Almeida Ribeiro, I.; Gomes de Aguiar Veiga, R. & de Koning, M.
Effect of Sodium Chloride on Internal Quasi-Liquid Layers in Ice Ih.
The Journal of Physical Chemistry C: 18526-18535, (2021).
de Almeida Ribeiro, I. & de Koning, M.
Grain-Boundary Sliding in Ice Ih: Tribology and Rheology at the Nanoscale.
The Journal of Physical Chemistry C, 125 (1): 627-634, (2021).
de Almeida Ribeiro, I. & de Koning, M.
Non-Newtonian flow effects in supercooled water.
Physical Review Research, 2(2): 022004, (2020).
Moreira, P. A. F. P.; de Aguiar Veiga, R. G.; de Almeida Ribeiro, I.; Freitas, R.; Helfferich, J. & de Koning, M.
Anomalous diffusion of water molecules at grain boundaries in ice Ih.
Physical Chemistry Chemical Physics, 20(20): 13944-13951, (2018).
Ribeiro, Ingrid A.; Fabio J. Ribeiro; & A. S. Martins.
An extended Hückel study of the electronic properties of III-V compounds and their alloys.
Solid State Communications, 186: 50-55, (2014).
Here are some of the computational models, scripts, and analysis tools I’ve developed.
Powerful visualization and analysis for atomistic simulations.
Interactive computing for Python.
Lightweight and powerful text editor.
Essential library for creating high-quality visualizations in Python.
Vector graphics software for creating high-quality scientific illustrations.
Powerful knowledge management and note-taking tool.